Coronavirus. Cercasi disperatamente curva logistica
sabato, Marzo 14th, 2020
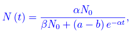
Esaminiamo l'approccio standard per la ricerca di una logistica per il sistema dinamico in esame. Come è noto, si assegna un'equazione differenziale del tipo Riccati che nel nostro caso si scrive:

dove α è il valor medio dei vari parametri calcolati in precedenza, mentre ß > 0 è un parametro ignoto che agisce da fattore di smorzamento dell'esponenziale. Integrando tale equazione differenziale con la condizione iniziale N(0)=N0=221, dopo qualche passaggio si ottiene:

da cui emerge il comportamento asintotico:

e il comportamento esponenziale a tempi brevi. Con i dati in nostro possesso presi dal sito web della Protezione civile, abbiamo visto che un valore affidabile del parametro ß è

Infatti, plottando la soluzione otteniamo l'andamento riportato in fig. 1. Inoltre, studiando la derivata seconda si stabilisce l'esistenza di un punto di flesso a tangente obliqua, visibile nella predetta figura. L'ascissa è

corrispondente al 31 marzo.










Congettura di Riemann
Trasformata discreta di Fourier
Trasformata di Fourier nel senso delle distribuzioni
Trasformata di Fourier
Infinitesimi ed infiniti
Limiti notevoli
Punti di discontinuità
Misura di Peano Jordan
Eserciziario sugli integrali
Differenziabilità
Differenziabilità (2)
Esercizi sui limiti
Appunti sulle derivate
Studio della funzione
Esercizi sugli integrali indefiniti
Algebra lineare
Analisi Matematica 2
Analisi funzionale
Entanglement quantistico
Spazio complesso
Biliardo di Novikov
Intro alla Meccanica quantistica
Entanglement Quantistico
