[¯|¯] Comportamento agli estremi del campo di esistenza
Gennaio 2nd, 2017 | by Marcello Colozzo |
Fig. 1
Esercizio
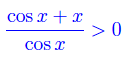
Studiare il comportamento della funzione

agli estremi del suo campo di esistenza.
Soluzione
La funzione è definita per

La disequazione

può essere risolta solo per via numerica, per cui la lasciamo inespressa. In ogni caso, se

si ha

Determiniamo il comportamento in un intorno di x=0:

che si riconduce a un limite notevole, ponendo

Più precisamente

Ne consegue che x=0 è un punto di discontinuità eliminabile.
Offrici una birra!


No TweetBacks yet. (Be the first to Tweet this post)
Tags: esercizi, Forme indeterminate, funzioni, limiti, limiti notevoli
Articoli correlati