giovedì, Settembre 2nd, 2021
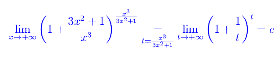
Il limite si presenta nella forma indeterminata 1oo, che può essere risolta con il seguente artificio:

Il limite nell'esponente è manifetamente pari a 3. Calcoliamo l'altro:
(altro…)
Posted in Analisi Matematica I | No Comments »
giovedì, Settembre 2nd, 2021
Fig. 1
Il limite si presenta nella forma indeterminata 0/0, che può essere risolta con il seguente artificio:
L'altro limite si riconduce a un limite fondamentale, con il seguente cambio di variabile t=5(x-5), per cui

Ne segue
Posted in Analisi Matematica I | No Comments »