Triangolo, cerchio inscritto e allineamenti
Ottobre 28th, 2021 | by Marcello Colozzo |
Esercizio
Dimostrare che i punti P,Q,R sono allineati (fig. 1).
Soluzione
Dato un triangolo generico ABC siano α,ß,χ gli angoli corrispondenti ai vertici.(fig. 1). Si traccino le bisettrici da ogni vertice, le quali si incontreranno in O. Dal centro O si tracci la perpendicolare ad AB e ad AC. Disegnato il cerchio inscritto si ha FO=GO e AF=AG, pertanto AO è perpendicolare a FG nel punto N. Esaminiamo le bisettrici da B e da C. Si ha con ovvio significato dei simboli:

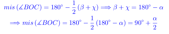
Poichè l'angolo BOD è supplementare all'angolo BOC, si ha

Ma l'angolo DBO è complementare a BOD, quindi

Poiché

si ha

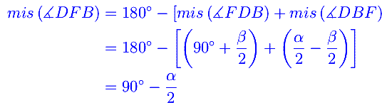
Gli angoli in F e in D sono retti, quindi il quadrilatero BDFO è ciclico. Si ha

Nel triangolo DFB abbiamo

Poiché AFB è un segmento diritto e

per cui i punti D,F,G risultano allineati. In modo analogo si prova che E,G,F sono allineati. Pertanto D,F,G,E sono allineati.