Serie numerica ad un parametro (esercizio svolto)
Ottobre 8th, 2021 | by Marcello Colozzo |
Esercizio tratto dal Gizzetti. La soluzione è nostra.
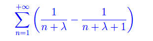
Dimostrare che se λ non è un intero negativo, la serie scritta in fig. 1 è convergente e calcolarne la somma.
Soluzione
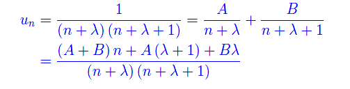
Per calcolare agevolmente la somma parziale, osserviamo che il termine generico è una funzione razionale di n, per cui è preferibile ridurre in frazioni semplici:

da cui il sistema

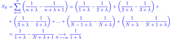
Pertanto la serie può riscriversi

E quindi la somma parziale di ordine N

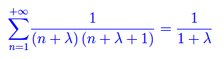
Ne concludiamo

No TweetBacks yet. (Be the first to Tweet this post)
Tags: convergenza, esercizi, serie numerica
Articoli correlati


Congettura di Riemann
Trasformata discreta di Fourier
Trasformata di Fourier nel senso delle distribuzioni
Trasformata di Fourier
Infinitesimi ed infiniti
Limiti notevoli
Punti di discontinuità
Misura di Peano Jordan
Eserciziario sugli integrali
Differenziabilità
Differenziabilità (2)
Esercizi sui limiti
Appunti sulle derivate
Studio della funzione
Esercizi sugli integrali indefiniti
Algebra lineare
Analisi Matematica 2
Analisi funzionale
Entanglement quantistico
Spazio complesso
Biliardo di Novikov
Intro alla Meccanica quantistica
Entanglement Quantistico
