Baricentro di una figura piana
Maggio 30th, 2020 | by Marcello Colozzo |
Esercizio n. 11, pag. 241 del Flaccavento.
Si consideri la figura costituita da un quadrato di lato l e da un triangolo isoscele di base l, coincidente con uno dei lati del quadrato, e di altezza h (fig. 1). Calcolare h di modo che il baricentro della figura cada sulla base del triangolo.
Soluzione
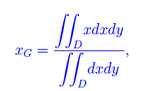
Sia G(xG,yG) il baricentro della figura assegnata, la cui simmetria rispetto all'asse y implica yG=0, i.e. il baricentro cade sull'asse x. Ne consegue che G cade sulla base del triangolo se e solo se G coincide con l'origine del riferimento cartesiano, per cui dobbiamo imporre xG=0. Ricordiamo che

onde

che risolve il problema. Il dominio D si decompone

come illustrato in fig. 1.

Procedendo per decomposizione per poi applicare le formule di riduzione ai singoli integrali doppi:

Per quanto precede

No TweetBacks yet. (Be the first to Tweet this post)
Tags: baricentro, figura piana, integrale doppio
Articoli correlati


Congettura di Riemann
Trasformata discreta di Fourier
Trasformata di Fourier nel senso delle distribuzioni
Trasformata di Fourier
Infinitesimi ed infiniti
Limiti notevoli
Punti di discontinuità
Misura di Peano Jordan
Eserciziario sugli integrali
Differenziabilità
Differenziabilità (2)
Esercizi sui limiti
Appunti sulle derivate
Studio della funzione
Esercizi sugli integrali indefiniti
Algebra lineare
Analisi Matematica 2
Analisi funzionale
Entanglement quantistico
Spazio complesso
Biliardo di Novikov
Intro alla Meccanica quantistica
Entanglement Quantistico
