[¯|¯] Regolarità di una rappresentazione parametrica e iniettività locale

Marzo 25th, 2017 | by Marcello Colozzo |

curve regolari,rappresentazione parametrica,iniettività locale,iniettività globale

Fig. 1. Esempio di curva regolare dotata di punti multipli. Si tratta comunque di una curva "localmente semplice"


Nel post precedente abbiamo introdotto il concetto di "traiettoria" di un punto materiale rispetto a un'assegnata terna di riferimento K(Oxyz). Esaminiamo ora tale nozione dal punto di vista della Geometria differenziale.

Definizione
Una rappresentazione parametrica

curve regolari,rappresentazione parametrica,iniettività locale,iniettività globale

si dice regolare se:
curve regolari,rappresentazione parametrica,iniettività locale,iniettività globale

Una curva ammette infinite rappresentazioni parametriche. Ad esempio, consideriamo

curve regolari,rappresentazione parametrica,iniettività locale,iniettività globale

Eseguiamo il cambio di parametro:
curve regolari,rappresentazione parametrica,iniettività locale,iniettività globale

Risulta
curve regolari,rappresentazione parametrica,iniettività locale,iniettività globale

che definisce una nuova rappresentazione parametrica della stessa curva, ottenuta mediante una riparametrizzazione.








Supponiamo ora di avere una curva Γ di rappresentazione parametrica regolare:

curve regolari,rappresentazione parametrica,iniettività locale,iniettività globale

Con linguaggio improprio, chiamiamo Γ curva regolare. L'improprietà deriva dal fatto che una curva regolare è una classe di equivalenza nell'insieme delle sue rappresentazioni parametriche. In termini meno rigorosi, una curva regolare è l'elemento che accomuna un insieme di rappresentazioni parametriche regolari.
Definizione
Assegnata la curva regolare

curve regolari,rappresentazione parametrica,iniettività locale,iniettività globale

un campo vettoriale u(t) lungo la curva Γ è la funzione vettoriale della variabile reale t:
curve regolari,rappresentazione parametrica,iniettività locale,iniettività globale

come mostrato nella seguente figura:

curve regolari,rappresentazione parametrica,iniettività locale,iniettività globale


Definizione
Un campo vettoriale u(t) lungo Γ è parallelo se

curve regolari,rappresentazione parametrica,iniettività locale,iniettività globale


Definizione
La curva regolare
curve regolari,rappresentazione parametrica,iniettività locale,iniettività globale

è semplice se la funzione vettoriale x(t) è iniettiva nella base X. Geometricamente la semplicità della curva si traduce nell'assenza di punti multipli:

curve regolari,rappresentazione parametrica,iniettività locale,iniettività globale


Lemma
Se x=x(t) è una rappresentazione parametrica regolare, la funzione vettoriale x(t) è localmente iniettiva.

Dimostrazione
Dalla regolarità della rappresentazione parametrica segue
curve regolari,rappresentazione parametrica,iniettività locale,iniettività globale

Quindi
curve regolari,rappresentazione parametrica,iniettività locale,iniettività globale

Senza perdita di generalità supponiamo che sia
curve regolari,rappresentazione parametrica,iniettività locale,iniettività globale

Abbiamo:

curve regolari,rappresentazione parametrica,iniettività locale,iniettività globale

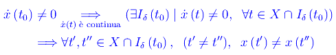
L'ultima implicazione si dimostra per assurdo utilizzando il teorema di Rolle:

curve regolari,rappresentazione parametrica,iniettività locale,iniettività globale

Ma ciò è assurdo poichè è
curve regolari,rappresentazione parametrica,iniettività locale,iniettività globale

per cui è necessariamente
curve regolari,rappresentazione parametrica,iniettività locale,iniettività globale

In definitiva:
curve regolari,rappresentazione parametrica,iniettività locale,iniettività globale

Osservazione
Il lemma appena dimostrato assicura l'iniettività locale di una rappresentazione parametrica regolare x(t), ma non l'iniettività globale. In altri termini, una curva regolare Γ può essere dotata di punti multipli. Di contro, comunque prendiamo t0 in X, esiste un intorno Iδ(t0) tale che Γ è ivi priva di punti multipli.








No TweetBacks yet. (Be the first to Tweet this post)

Tags: , , ,

Articoli correlati

Commenta l'esercizio