[¯|¯] Tensori controvarianti di rango r (parte seconda)
venerdì, Marzo 6th, 2020
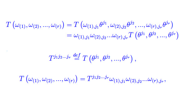
Nel numero precedente abbiamo definito le "componenti" di un tensore controvariante di rango r. È chiaro che tale locuzione ha senso solo se è stata assegnato innanzitutto uno spazio vettoriale di appartenenza, e poi una sua base. A tale scopo definiamo innanzitutto l'insieme delle applicazioni r-lineari introdotte nel numero precedente:

dove il doppio asterisco denota lo spazio biduale di En. Siccome esiste un isomorfismo naturale tra un qualunque spazio vettoriale e il suo biduale, possiamo identificare En** con En, per cui scriviamo semplicemente:

avendo però l'accortezza di denotare una base di En con un simbolo del tipo

per ricordare che stiamo in realtà lavorando sullo spazio biduale. Più precisamente, se {ei} è una base assegnata di En, si ha che la base duale ad essa associata è

mentre la base biduale associata alla base {ei} ovvero la base duale associata a {θj}, è

che è ovviamente una base En, tuttavia in generale distinta dalla base di partenza {ei}.
(altro…)







Congettura di Riemann
Trasformata discreta di Fourier
Trasformata di Fourier nel senso delle distribuzioni
Trasformata di Fourier
Infinitesimi ed infiniti
Limiti notevoli
Punti di discontinuità
Misura di Peano Jordan
Eserciziario sugli integrali
Differenziabilità
Differenziabilità (2)
Esercizi sui limiti
Appunti sulle derivate
Studio della funzione
Esercizi sugli integrali indefiniti
Algebra lineare
Analisi Matematica 2
Analisi funzionale
Entanglement quantistico
Spazio complesso
Biliardo di Novikov
Intro alla Meccanica quantistica
Entanglement Quantistico
