[¯|¯] Ipotesi di Riemann e Brown Noise
venerdì, Ottobre 4th, 2019
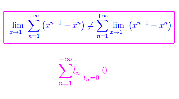
Nello sviluppo in serie della funzione di distribuzione dei primi π0(x) trovato da Riemann nel 1856, compare una serie in cui la convergenza è modulata da una infinità numerabile di parametri (zeri non banali della funzione zeta di Riemann). Siamo dunque in presenza di una serie atipica, nel senso che la variabile indipendente x del termine n-esimo è svincolata dall'indice di somma. Un altro aspetto interessante è la presenza della funzione coseno con argomento contenente i predetti parametri, e con dipendenza logaritmica dalla variabile reale x.
(altro…)







Congettura di Riemann
Trasformata discreta di Fourier
Trasformata di Fourier nel senso delle distribuzioni
Trasformata di Fourier
Infinitesimi ed infiniti
Limiti notevoli
Punti di discontinuità
Misura di Peano Jordan
Eserciziario sugli integrali
Differenziabilità
Differenziabilità (2)
Esercizi sui limiti
Appunti sulle derivate
Studio della funzione
Esercizi sugli integrali indefiniti
Algebra lineare
Analisi Matematica 2
Analisi funzionale
Entanglement quantistico
Spazio complesso
Biliardo di Novikov
Intro alla Meccanica quantistica
Entanglement Quantistico
