Coronavirus. Un possibile modello per gli asintomatici
giovedì, Marzo 19th, 2020
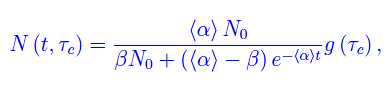
Sia τc è il tempo di incubazione che mediamente vale 14 giorni:

Assumendo tale grandezza alla stregua di un parametro non negativo, si ha che il numero di contagiati al tempo t si scrive:

Virtualmente, al crescere indefinito di tale parametro ci aspettiamo a parità di tempo, un maggior numero di contagiati, come illustrato in fig. 1. La presenza di questa nuova variabile, suggerisce di ridefinire la logistica nel modo che segue:

dove g(τc) è una funzione non negativa e strettamente crescente, convergente per τc -> +oo:

(altro…)



Congettura di Riemann
Trasformata discreta di Fourier
Trasformata di Fourier nel senso delle distribuzioni
Trasformata di Fourier
Infinitesimi ed infiniti
Limiti notevoli
Punti di discontinuità
Misura di Peano Jordan
Eserciziario sugli integrali
Differenziabilità
Differenziabilità (2)
Esercizi sui limiti
Appunti sulle derivate
Studio della funzione
Esercizi sugli integrali indefiniti
Algebra lineare
Analisi Matematica 2
Analisi funzionale
Entanglement quantistico
Spazio complesso
Biliardo di Novikov
Intro alla Meccanica quantistica
Entanglement Quantistico
