Esercizio svolto su serie numerica con due parametri
Ottobre 8th, 2021 | by Marcello Colozzo |
Esercizio tratto dal Gizzetti. La soluzione è nostra.
Dimostrare che se λ non è un intero negativo e p un intero positivo, si ha il risultato riportato in fig. 1.
Soluzione
Decomponiamo il termine generico in frazioni semplici:

da cui il sistema di equazioni lineari

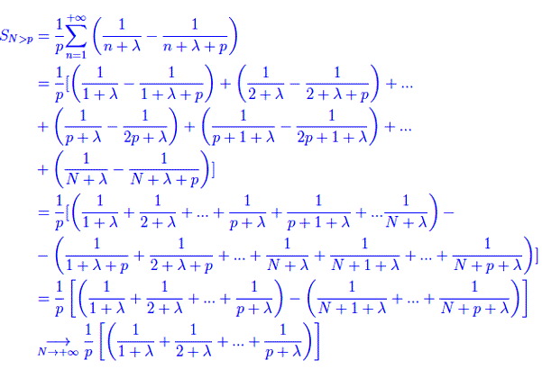
Pertanto la somma parziale di ordine N > p è:

cioè l'asserto. Si noti che l'esercizio precedente è un caso particolare (p=1) di questo.
No TweetBacks yet. (Be the first to Tweet this post)
Tags: convergenza, esercizi, serie numeriche
Articoli correlati


Congettura di Riemann
Trasformata discreta di Fourier
Trasformata di Fourier nel senso delle distribuzioni
Trasformata di Fourier
Infinitesimi ed infiniti
Limiti notevoli
Punti di discontinuità
Misura di Peano Jordan
Eserciziario sugli integrali
Differenziabilità
Differenziabilità (2)
Esercizi sui limiti
Appunti sulle derivate
Studio della funzione
Esercizi sugli integrali indefiniti
Algebra lineare
Analisi Matematica 2
Analisi funzionale
Entanglement quantistico
Spazio complesso
Biliardo di Novikov
Intro alla Meccanica quantistica
Entanglement Quantistico
