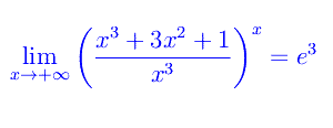
Forma indeterminata 1^oo (1 elevato a infinito)
Settembre 2nd, 2021 | by Marcello Colozzo |
Il limite si presenta nella forma indeterminata 1oo, che può essere risolta con il seguente artificio:

Il limite nell'esponente è manifetamente pari a 3. Calcoliamo l'altro:

Conclusione:

No TweetBacks yet. (Be the first to Tweet this post)
Articoli correlati



Congettura di Riemann
Trasformata discreta di Fourier
Trasformata di Fourier nel senso delle distribuzioni
Trasformata di Fourier
Infinitesimi ed infiniti
Limiti notevoli
Punti di discontinuità
Misura di Peano Jordan
Eserciziario sugli integrali
Differenziabilità
Differenziabilità (2)
Esercizi sui limiti
Appunti sulle derivate
Studio della funzione
Esercizi sugli integrali indefiniti
Algebra lineare
Analisi Matematica 2
Analisi funzionale
Entanglement quantistico
Spazio complesso
Biliardo di Novikov
Intro alla Meccanica quantistica
Entanglement Quantistico
