Area di una figura piana (integrali doppi)
Maggio 30th, 2020 | by Marcello Colozzo |
Esercizio n.7, pag. 235 del Flaccavento che comunque riporta un risultato errato. (Abbiamo controllato con Mathematica).
Calcolare l'area della regione del piano limitata dal semiasse positivo delle x, dall'ellisse di semiassi a e b e dalla retta di equazione x=y (fig. 1).
Soluzione
Determiniamo innanzitutto le coordinate cartesiane del punto di intersezione della retta o meglio della semiretta x=y (per y>0) e dell'ellisse:

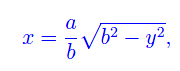
La seconda radice non ci interessa, per cui la scartiamo. L'ordinata del punto di intersezione è ovviamente y1=x1. L'area richiesta altro non è che la misura del dominio di fig. 1 che si potrebbe partizionare in due domini normali rispetto all'asse x. In realtà tale dominio è normale anche rispetto all'asse y. Infatti, se nell'equazione dell'ellisse esprimiamo la variabile x in funzione di y, si ha:

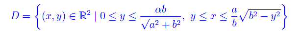
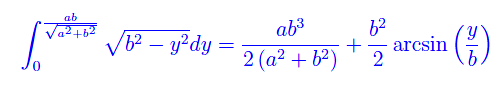
per cui guardando la figura si ottiene

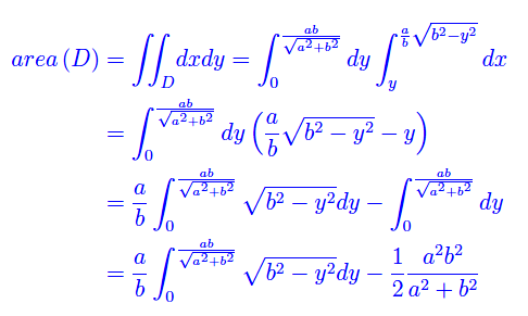
Quindi

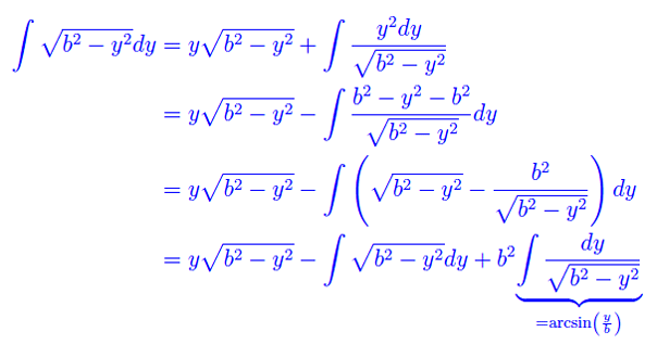
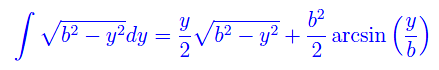
Calcoliamo a parte l'integrale rimasto inespresso a secondo membro dell'equazione appena scritta. Riferiamoci all'integrale indefinito, eseguendo un'integrazione per parti:

Cioè

Ne segue

che sostituita nell'equazione più sopra, restituisce il risultato riportato in fig. 1.
No TweetBacks yet. (Be the first to Tweet this post)
Articoli correlati



Congettura di Riemann
Trasformata discreta di Fourier
Trasformata di Fourier nel senso delle distribuzioni
Trasformata di Fourier
Infinitesimi ed infiniti
Limiti notevoli
Punti di discontinuità
Misura di Peano Jordan
Eserciziario sugli integrali
Differenziabilità
Differenziabilità (2)
Esercizi sui limiti
Appunti sulle derivate
Studio della funzione
Esercizi sugli integrali indefiniti
Algebra lineare
Analisi Matematica 2
Analisi funzionale
Entanglement quantistico
Spazio complesso
Biliardo di Novikov
Intro alla Meccanica quantistica
Entanglement Quantistico
