Incertezza sulla posizione di una particella la funzione d'onda è un pacchetto d'onde
Maggio 13th, 2020 | by Marcello Colozzo |
Continuiamo l'esercizio di ieri.
Per calcolare la deviazione quadratica media Δx, dobbiamo dapprima calcolare i valori medi

avendosi

essendo ρ0(x)=|ψ0(x)|² la densità di probabilità di trovare la particella in un assegnato intervallo infinitesimo [x,x+dx]. Abbiamo, dunque

che può essere prolungata per continuità in x=±1/a, avendosi ρ0(±1/a)=0. La funzione ρ0(x) è manifestamente pari e il suo grafico in [-1/a,1/a] è l'unione di due archi di parabola aventi vertici in (±1/a,0) rispettivamente. Ad occhio vediamo che

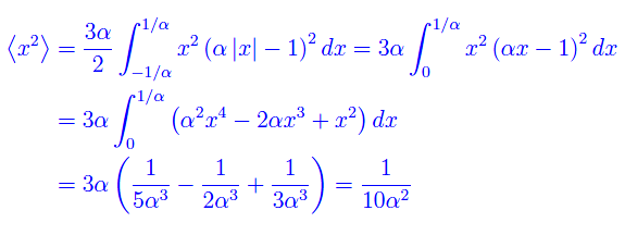
Calcoliamo

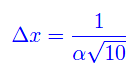
Ne segue

No TweetBacks yet. (Be the first to Tweet this post)
Tags: indeterminazione, pacchetto d'onde, particella, posizione
Articoli correlati


Congettura di Riemann
Trasformata discreta di Fourier
Trasformata di Fourier nel senso delle distribuzioni
Trasformata di Fourier
Infinitesimi ed infiniti
Limiti notevoli
Punti di discontinuità
Misura di Peano Jordan
Eserciziario sugli integrali
Differenziabilità
Differenziabilità (2)
Esercizi sui limiti
Appunti sulle derivate
Studio della funzione
Esercizi sugli integrali indefiniti
Algebra lineare
Analisi Matematica 2
Analisi funzionale
Entanglement quantistico
Spazio complesso
Biliardo di Novikov
Intro alla Meccanica quantistica
Entanglement Quantistico
