Equazione differenziale di Riccati: analisi delle soluzioni
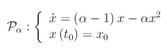
Aprile 2nd, 2016 | by Marcello Colozzo |Riprendiamo il problema di Cauchy relativo all'equazione differenziale di Riccati:

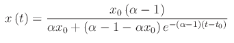
Nel file pdf allegato a questo post (vedi in fondo), troviamo l'unica soluzione:

che a tempi brevi è approssimata da una funzione esponenziale:

Inoltre, come è ben noto nella letteratura scientifica, l'equazione di Riccati simula molto bene processi di crescita relativi a una popolazione di insetti. Incidentalmente, l'equazione da cui siamo partiti può essere campionata nel tempo per restituire un'equazione di ricorrenza della famosa mappa logistica.
In questo paradigma, la crescita esponenziale ha una semplice interpretazione: a tempi brevi le risorse dell'ambiente sono praticamente illimitate, dato che ci sono pochi individui nella popolazione. Ma, al progressivo crescere della variabile tempo, nascono nuovi esemplari e ne consegue che le risorse non possono essere più considerate illimitate. Infatti, ora non è più trascurabile il termine -x^2 che tende a frenare la crescita. Ne consegue l'andamento asintotico.
Per ora concludiamo che la crescita esponenziale è un'ottima simulazione per una popolazione batterica, giacchè per questi ultimi le risorse dell'ambiente sono illimitate a tutti i tempi.
Per i dettagli matematici leggi il file pdf
Tags: crescita, equazione differenziale di riccati, popolazione, Problema di Cauchy
Articoli correlati


Congettura di Riemann
Trasformata discreta di Fourier
Trasformata di Fourier nel senso delle distribuzioni
Trasformata di Fourier
Infinitesimi ed infiniti
Limiti notevoli
Punti di discontinuità
Misura di Peano Jordan
Eserciziario sugli integrali
Differenziabilità
Differenziabilità (2)
Esercizi sui limiti
Appunti sulle derivate
Studio della funzione
Esercizi sugli integrali indefiniti
Algebra lineare
Analisi Matematica 2
Analisi funzionale
Entanglement quantistico
Spazio complesso
Biliardo di Novikov
Intro alla Meccanica quantistica
Entanglement Quantistico
