[¯|¯] Software da combattimento aereo (esercizio di dinamica del punto materiale)
mercoledì, Febbraio 13th, 2019
Esercizio
Trascurando la resistenza dell'aria e la curvatura terrestre, si consideri il moto di un aereo a quota h=225m e con velocità "orizzontale" costante v0=155km/h . Il software di visualizzazione di un bersaglio B fermo sulla superficie terrestre, restituisce le coordinate polari (ρ,φ) di B, rispetto a un riferimento polare di polo la posizione istantanea dell'aereo, e di asse polare l'asse parallelo e concorde al vettore v0, passante per la posizione istantanea dell'aereo, come illustrato in fig. 1, dove abbiamo istituito un sistema di riferimento K(Oxy) solidale alla Terra, e che può essere considerato con buona approssimazione inerziale.
Nello specifico, il software restituisce l'angolo α (fig. 1) che chiamiamo "angolo di visuale del bersaglio". Scrivere l'algoritmo utilizzato dal predetto software, il cui output è il valore α0 di α, affinché un ordigno sganciato all'istante t=0, colpisca il bersaglio. Infine, graficare l'andamento di α0 in funzione della quota h.
Soluzione
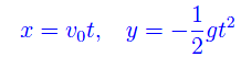
È ovvio che la traiettoria dell'ordigno è univocamente determinata dal modulo della velocità orizzontale. Infatti, le equazioni orarie dei singoli moti componenti lungo gli assi coordinati (che compongono una rappresentazione parametrica della traiettoria), sono:

(altro…)





Congettura di Riemann
Trasformata discreta di Fourier
Trasformata di Fourier nel senso delle distribuzioni
Trasformata di Fourier
Infinitesimi ed infiniti
Limiti notevoli
Punti di discontinuità
Misura di Peano Jordan
Eserciziario sugli integrali
Differenziabilità
Differenziabilità (2)
Esercizi sui limiti
Appunti sulle derivate
Studio della funzione
Esercizi sugli integrali indefiniti
Algebra lineare
Analisi Matematica 2
Analisi funzionale
Entanglement quantistico
Spazio complesso
Biliardo di Novikov
Intro alla Meccanica quantistica
Entanglement Quantistico
