[¯|¯] Il Teorema dei numeri primi per lo sviluppo in serie di pi(x)
lunedì, Settembre 30th, 2019
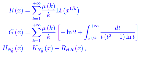
Procedendo per assurdo, supponiamo che fuori della retta critica ci siano N'0 coppie di zeri non banali, come illustrato nella figura. Per quanto visto, assumendo come parametro libero l'intero naturale N'0, è definita la seguente famiglia di distribuzioni di numeri primi:

Rammentiamo l'espressione analitica delle funzioni a secondo membro dell'equazione scritta sopra:

con

(altro…)








Congettura di Riemann
Trasformata discreta di Fourier
Trasformata di Fourier nel senso delle distribuzioni
Trasformata di Fourier
Infinitesimi ed infiniti
Limiti notevoli
Punti di discontinuità
Misura di Peano Jordan
Eserciziario sugli integrali
Differenziabilità
Differenziabilità (2)
Esercizi sui limiti
Appunti sulle derivate
Studio della funzione
Esercizi sugli integrali indefiniti
Algebra lineare
Analisi Matematica 2
Analisi funzionale
Entanglement quantistico
Spazio complesso
Biliardo di Novikov
Intro alla Meccanica quantistica
Entanglement Quantistico
