[¯|¯] Limite apparentemente complicato
martedì, Gennaio 10th, 2017
Soluzione
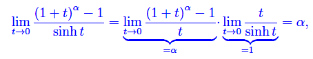
Il rapporto si presenta nella forma indeterminata (0/0), per cui tentiamo con il cambio di variabile

In tal modo il limite si fattorizza nel prodotto di limiti fondamentali:

da cui il risultato.