[¯|¯] Un seno iperbolico un pò irrazionale
venerdì, Febbraio 3rd, 2017
Soluzione
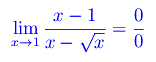
Abbiamo

per cui calcoliamo

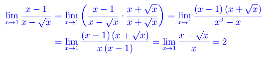
Per rimuovere l'indeterminazione razionalizziamo il denominatore:

Conclusione:

Scarica gratis migliaia di esercizi svolti di Analisi Matematica, Fisica, Geometria etc.
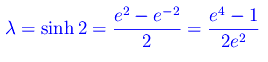
Soluzione
Abbiamo
Posted in Analisi Matematica I, Calcolo di Limiti | No Comments »