[¯|¯] Integrale di circuitazione di una funzione, ed indipendenza dal cammino di integrazione
giovedì, Novembre 17th, 2016
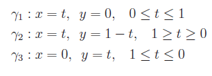
Cammino di integrazione relativo all'integrale di circuitazione assegnato
Esercizio
Calcolare l'integrale curvilineo:

dove γ è la curva generalmente regolare semplice e chiusa, rappresentata in fig. 1.
Soluzione
Il cammino di integrazione è la frontiera del dominio:

per cui

dove

Quindi

(altro…)



Congettura di Riemann
Trasformata discreta di Fourier
Trasformata di Fourier nel senso delle distribuzioni
Trasformata di Fourier
Infinitesimi ed infiniti
Limiti notevoli
Punti di discontinuità
Misura di Peano Jordan
Eserciziario sugli integrali
Differenziabilità
Differenziabilità (2)
Esercizi sui limiti
Appunti sulle derivate
Studio della funzione
Esercizi sugli integrali indefiniti
Algebra lineare
Analisi Matematica 2
Analisi funzionale
Entanglement quantistico
Spazio complesso
Biliardo di Novikov
Intro alla Meccanica quantistica
Entanglement Quantistico
