[¯|¯] Regione del piano dove non c'è funzione
giovedì, Febbraio 16th, 2017
Fig. 1
Esercizio
Classificare i punti di discontinuità della funzione

Soluzione
Dal momento che abbiamo una funzione periodica di periodo T=π riferiamoci all'intervallo [0,π]. Evidentemente

Dobbiamo poi escludere la discontinuità di tan2x nell'intervallo (0,(π/2)). Deve perciò essere:

In definitiva il campo di esistenza che ci interessa è

Per quanto riguarda il segno, si ha manifestamente

In figura la regione in grigio denota la porzione del piano cartesiano non attraversata dal grafico della funzione, mentre i pallini gialli indica i punti di accumulazione non appartenenti a X.

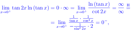
Studiamo il comportamento della funzione in un intorno destro di x=0. Abbiamo

Calcoliamo a parte

per cui

Ne consegue che x=0 è una discontinuità eliminabile. Passiamo al punto x=π/4:

applicando il il procedimento standard

(altro…)