[¯|¯] Limite esponenziale con base cosinuosidale
martedì, Febbraio 7th, 2017
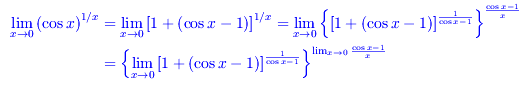
Forma indeterminata 1oo:

Scriviamo

Calcoliamo a parte i due limiti. Risulta

in virtù del limite fondamentale

(altro…)
Scarica gratis migliaia di esercizi svolti di Analisi Matematica, Fisica, Geometria etc.


Forma indeterminata 1oo:





Anche qui abbiamo la forma indeterminata 1oo:

