La funzione parte intera dell'esponenziale di x
Dicembre 9th, 2022 | by Marcello Colozzo |
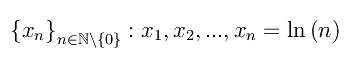
Studiamo la funzione

dove [.] denota la parte intera. Definiamo la successione di elementi di R

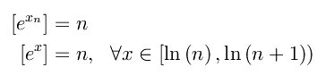
Segue

come vediamo in figura:

Ne segue che il grafico della funzione assegnata è l'unione di infiniti segmenti aperti di quelli del tipo della predetta figura. Notiamo che la lunghezza di tali segmenti è infinitesima all'infinito:

Il grafico completo della funzione è animato in fig. 1 ove vediamo la presenza di infiniti punti di discontinuità di prima specie.
No TweetBacks yet. (Be the first to Tweet this post)
Articoli correlati