Diodi in serie
Dicembre 2nd, 2022 | by Marcello Colozzo |
Esercizio
(Il testo è preso da Millman - Halkias. La soluzione è nostra)
(a) Due diodi p-n al germanio sono connessi in serie in direzione opposta all'altro (fig. 1 ). A questa combinazione serie viene applicata una batteria di 5V . Trovare la tensione che si localizza, alla temperatura ambiente, ai capi di ciascuna giunzione, supponendo che il valore della tensione di Zener sia superiore a 5V .
Si noti come il risultato sia indipendente dalla corrente di saturazione inversa. È anche indipendente dalla temperatura?
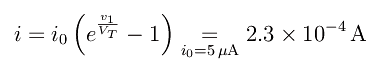
(b) Se il valore della tensione di Zener è 4.9V , quanto varrà l'intensità della corrente che scorre nel circuito? L'intensità della corrente di saturazione inversa sia 5µA .
Soluzione
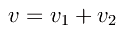
Quesito (a). Quesito (a). Se v1 e v2 sono rispettivamente le tensioni ai capi delle giunzioni, per il secondo principio di Kirchhoff si ha:

Siccome D2 è in polarizzazione inversa, l'unica corrente che può circolare nella serie è la corrente di saturazione inversa di D2 che denotiamo con i02. Ne segue dalla caratteristica tensione-corrente di D1

dove i01 è la corrente di saturazione inversa di D1, mentre come già sappiamo a temperatura ambiente l'equivalente in volt della temperatura vale:

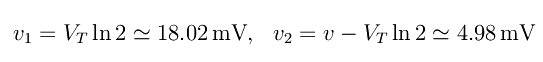
Dall'equazione più sopra ricaviamo

e quindi da Kirchhoff:

Riguardo all'indipendenza dalla corrente di saturazione inversa, la risposta è affermativa solo se i diodi sono identici, e dal testo si evince proprio questa circostanza. In tal caso si ha

Quesito (b). Trovandosi D2 in breakdown, la differenza di potenziale ai sui capi non può essere che vZ=4.9V , da cui v1=v-vZ=0.1V . Ciò forza il diodo D1 a far circolare una corrente
