Momento statico di una figura piana, rispetto all'asse y
Maggio 29th, 2020 | by Marcello Colozzo |
Esercizio n.6, pag. 234 del Flaccavento
Calcolare il momento statico rispetto all'asse y della figura limitata dal primo quadrante, da y=x² e dalla semicirconferenza che ha centro nel punto (1,0) e raggio 1.
Soluzione
L'equazione della circonferenza di centro (1,0) e raggio 1 è ovviamente

da cui ricaviamo l'equazione della semicirconferenza giacente nel semipiano y=0:

Abbiamo quindi il dominio normale rispetto all'asse x

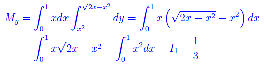
come illustrato in fig. 1. Il momento statico rispetto all'asse y è dato da

Applicando le formule di riduzione degli integrali doppi

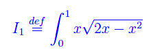
Calcoliamo a parte

Osserviamo che

Tale sviluppo suggerisce la sostituzione

Vediamo come cambiano gli estremi di integrazione

onde

Sostituendo nell'equazione scritta più sopra, otteniamo

No TweetBacks yet. (Be the first to Tweet this post)
Tags: figura piana, flaccavento, integrali doppi, momento statico
Articoli correlati


Congettura di Riemann
Trasformata discreta di Fourier
Trasformata di Fourier nel senso delle distribuzioni
Trasformata di Fourier
Infinitesimi ed infiniti
Limiti notevoli
Punti di discontinuità
Misura di Peano Jordan
Eserciziario sugli integrali
Differenziabilità
Differenziabilità (2)
Esercizi sui limiti
Appunti sulle derivate
Studio della funzione
Esercizi sugli integrali indefiniti
Algebra lineare
Analisi Matematica 2
Analisi funzionale
Entanglement quantistico
Spazio complesso
Biliardo di Novikov
Intro alla Meccanica quantistica
Entanglement Quantistico
