Trasformata di Fourier di un pacchetto d'onde linearmente modulato in ampiezza
Maggio 12th, 2020 | by Marcello Colozzo |
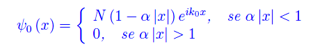
Determiniamo la trasformata di Fourier del pacchetto d'onde:

essendo α un parametro reale positivo, N una costante di normalizzazione.
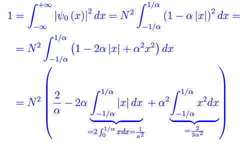
Calcoliamo innanzitutto la costante di normalizzazione:

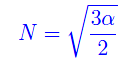
da cui ricaviamo facilmente

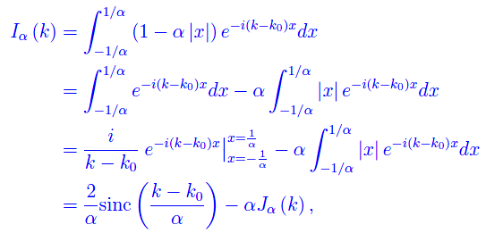
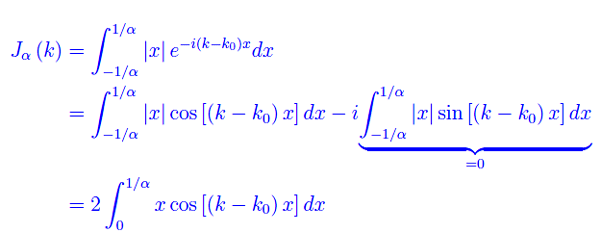
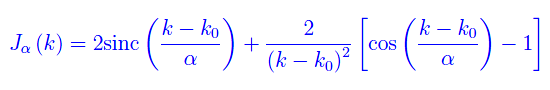
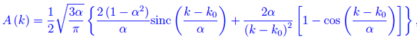
Calcoliamo ora la trasformata di Fourier:

avendo definito

essendo

Integrando per parti

Finalmente

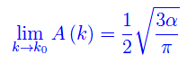
Riesce

No TweetBacks yet. (Be the first to Tweet this post)
Tags: modulazione d'ampiezza, pacchetto d'onde, Trasformata di Fourier
Articoli correlati


Congettura di Riemann
Trasformata discreta di Fourier
Trasformata di Fourier nel senso delle distribuzioni
Trasformata di Fourier
Infinitesimi ed infiniti
Limiti notevoli
Punti di discontinuità
Misura di Peano Jordan
Eserciziario sugli integrali
Differenziabilità
Differenziabilità (2)
Esercizi sui limiti
Appunti sulle derivate
Studio della funzione
Esercizi sugli integrali indefiniti
Algebra lineare
Analisi Matematica 2
Analisi funzionale
Entanglement quantistico
Spazio complesso
Biliardo di Novikov
Intro alla Meccanica quantistica
Entanglement Quantistico
