[¯|¯] Un tennista serve la palla orizzontalmente
Febbraio 6th, 2019 | by Marcello Colozzo |
Esercizio
1) Un tennista serve la palla orizzontalmente da un'altezza (riferita al centro della palla) sul campo H=2.37m , a una velocità v0=23.6m /s . A che altezza supera la rete, alta h=0.90m e distante d=12m , passerà la pallina?.
2) Supponiamo ora che il tennista serva come in 1), ma con un'inclinazione verso il basso di ?=5° rispetto l'orizzontale. La palla riuscirà ancora a passare la rete? (Si trascuri la resistenza dell'aria)
Soluzione
È preferibile affrontare subito il quesito 2, lasciando inespresso l'angolo ?, per porre ?=5° e ?=0 rispettivamente. Istituendo un sistema di assi cartesiani ortogonali Oxy come in fig. 1, si ha che le componenti cartesiane del vettore velocità iniziale sono:

da cui le equazioni orarie dei moti componenti lungo gli assi coordinati:

Eliminando il parametro t, si perviene all'equazione cartesiana della traiettoria:

che risulta manifestamente essere una parabola per l'origine che volge la concavità verso il basso. Facendo riferimento alla fig. 1, il problema consiste nel calcolare l'ordinata della punto della parabola di ascissa d. Denotando con B il predetto punto, si ha:

mentre l'ordinata del punto A (estremo superiore della rete) è

Segue

Cioè se e solo se

Inserendo i dati numerici e per θ=5°

Per θ=0

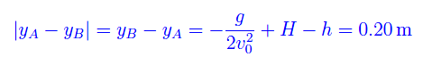
come appunto c'era d'aspettarsi. Tuttavia, il primo quesito vuole la distanza verticale rispetto all'estremo superiore della rete, ossia

Sostienici

Puoi contribuire all’uscita di nuovi articoli ed e-books gratuiti che il nostro staff potrà mettere a disposizione per te e migliaia di altri lettori.
