[¯|¯] Integrali curvilinei dal Flaccavento (lavoro di una forza)
Gennaio 2nd, 2019 | by Marcello Colozzo |
Esercizio n.7, pag. 78 del Flaccavento
Calcolare il lavoro svolto dal campo di forze

lungo la curva γ unione dei seguenti archi:

Soluzione
Il lavoro meccanico svolto dalla forza F è

dove X,Y,Z sono le componenti cartesiane della forza. Verifichiamo innanzitutto se la forma differenziale che compare nell'integrando è un differenziale esatto. Abbiamo

per cui dobbiamo calcolare manualmente l'integrale. Siccome il cammino di integrazione è l'unione di un numero finito di archi regolari (fig. 1), procediamo per decomposizione

dove

Iniziamo con L1

per cui

quindi

Cioè il primo percorso dà contributo nullo. Passiamo al secondo:


Puoi contribuire all’uscita di nuovi articoli ed e-books gratuiti che il nostro staff potrà mettere a disposizione per te e migliaia di altri lettori.
Ciò implica

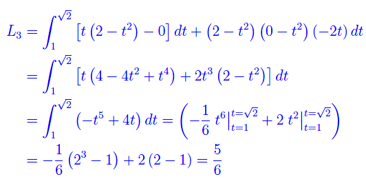
Passiamo al terzo:

ovvero un arco di parabola contenuto nel piano coordinato xy:

È facile verificare che L4=0. Conclusione

Sostienici

Puoi contribuire all’uscita di nuovi articoli ed e-books gratuiti che il nostro staff potrà mettere a disposizione per te e migliaia di altri lettori.
No TweetBacks yet. (Be the first to Tweet this post)
Tags: differenziale esatto, flaccavento, Integrali curvilinei, lavoro di una forza
Articoli correlati

Congettura di Riemann
Trasformata discreta di Fourier
Trasformata di Fourier nel senso delle distribuzioni
Trasformata di Fourier
Infinitesimi ed infiniti
Limiti notevoli
Punti di discontinuità
Misura di Peano Jordan
Eserciziario sugli integrali
Differenziabilità
Differenziabilità (2)
Esercizi sui limiti
Appunti sulle derivate
Studio della funzione
Esercizi sugli integrali indefiniti
Algebra lineare
Analisi Matematica 2
Analisi funzionale
Entanglement quantistico
Spazio complesso
Biliardo di Novikov
Intro alla Meccanica quantistica
Entanglement Quantistico
