[¯|¯] Esercizi sugli integrali curvilinei (Flaccavento)
Dicembre 15th, 2018 | by Marcello Colozzo |
Forse è una buona idea rivedere gli esercizi svolti presenti nel famoso libro dell'ing. Flaccavento. Lo scopo è quello di corredare gli esercizi con grafici generati con Mathematica, verificando poi i risultati con il predetto ambiente di calcolo.
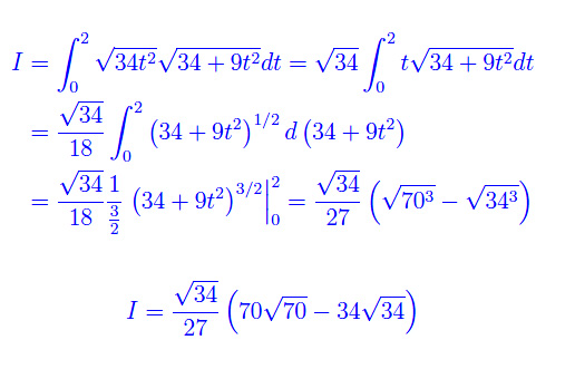
Iniziamo con gli integrali curvilinei, svolgendo l'esercizio n. 1 (fig. 1). Qui il cammino di integrazione è l'arco di curva regolare:

Dobbiamo esprimere l'elemento d'arco ds in termini del differenziale dt:

dove va preso il segno superiore se s(t) è strettamente crescente, i.e. il cammino di integrazione è orientato nel verso delle t crescenti. Viceversa, nel caso contrario. Nel nostro caso l'arco è orientato da O a P(6cos2,6sin2,10) che è il verso delle t crescenti, onde calcolando le derivate:


Sostienici

Puoi contribuire all’uscita di nuovi articoli ed e-books gratuiti che il nostro staff potrà mettere a disposizione per te e migliaia di altri lettori.
No TweetBacks yet. (Be the first to Tweet this post)
Tags: esercizi, flaccavento, Integrali curvilinei
Articoli correlati


Congettura di Riemann
Trasformata discreta di Fourier
Trasformata di Fourier nel senso delle distribuzioni
Trasformata di Fourier
Infinitesimi ed infiniti
Limiti notevoli
Punti di discontinuità
Misura di Peano Jordan
Eserciziario sugli integrali
Differenziabilità
Differenziabilità (2)
Esercizi sui limiti
Appunti sulle derivate
Studio della funzione
Esercizi sugli integrali indefiniti
Algebra lineare
Analisi Matematica 2
Analisi funzionale
Entanglement quantistico
Spazio complesso
Biliardo di Novikov
Intro alla Meccanica quantistica
Entanglement Quantistico
