[¯|¯] Piano osculatore e cerchio osculatore
Settembre 27th, 2017 | by Marcello Colozzo |
Sia data la curva regolare Γ con rappresentazione parametrica:

Fissiamo su Γ un punto P0=P(t0)tale che ρ(M0)=2, dove M0 è la matrice

avendo denotato con la notazione puntata l'operazione di derivazione rispetto a t. Per una nota proprietà il punto P0 è punto di curvatura per Γ. Se t0 è la retta tangente a Γ in P0, la sua equazione si scrive:

Manifestamente si ha

Preso ad arbitrio uno di tali punti, cioè

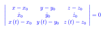
esiste ed è unico il piano ω(t) contenente la retta t0 e passante per P(t):

Nel determinante a primo membro le variabili reali x,y,z sono le coordinate cartesiane del generico punto di ω(t)s, mentre le x(t),y(t),z(t) sono le coordinate cartesiane del punto di Γ distinto da P0.
Sostienici
No TweetBacks yet. (Be the first to Tweet this post)
Articoli correlati