[¯|¯] Oscillazioni smorzate. Il caso critico (oscillatore criticamente smorzato)
Marzo 20th, 2017 | by Marcello Colozzo |
Fig. 1. Evoluzione nello spazio delle configurazioni dello stato meccanico di un oscillatore criticamente smorzato, per differenti valori della posizione iniziale.
Caso critico (b=bcrit)
L'equazione caratteristica ha una sola radice reale:

per cui un sistema di integrali fondamentali è

Pertanto l'integrale generale dell'equazione differenziale dell'oscillatore armonico smorzato si scrive:

Derivando otteniamo la velocità

Imponendo le condizioni iniziali

si perviene al sistema:

da cui

Quindi l'integrale particolare che ci interessa è:

e la velocità

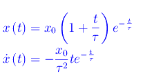
Assumendo una velocità iniziale nulla le equazioni precedenti si scrivono:

A differenza del caso aperiodico dove intervenivano due costanti di tempo τ1,τ2, la scala dei tempi del transitorio è fissata dall'unica costante di tempo τ=(2m)/b:

A rigore:

Osserviamo che la costante di tempo è ora legata alla pulsazione caratteristica dall'evidente relazione:

Ad esempio, per ω0=20rad/s otteniamo per l'ascissa x(t) l'andamento riportato in figura:

in fig. 1 (top di questa pagina) è plottato il diagramma delle orbite.
Ne concludiamo che anche nel caso criticamente smorzato, il punto materiale non compie oscillazioni e l'ascissa dopo un transitorio di durata τ, l'ascissa si annulla.
No TweetBacks yet. (Be the first to Tweet this post)
Tags: attrito, caso critico, oscillatore armonico smorzato, resistenza passiva
Articoli correlati