[¯|¯] Battimenti matematici?
Marzo 16th, 2017 | by Marcello Colozzo |
Il fenomeno dei battimenti
Il fenomeno dei battimenti è ben noto in acustica musicale quando si suona la stessa nota con due strumenti diversi non ben accordati tra loro.
In questo post mostriamo ora che il predetto fenomeno può essere illustrato in generale, cioè senza considerare grandezze che non siano necessariamente funzioni del tempo. Infatti, sussiste la seguente definizione:
Definizione
Dicesi battimento una qualunque combinazione lineare di due funzioni sinusoidali di periodo T1 e T2 tali che

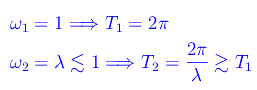
Per fissare le idee assumiamo

Sommiamo

Applicando le formule di prostaferesi:

dove50lips15.gif" alt="battimenti,funzioni periodiche,formule di prostaferesi">
dove

In particolare assumiamo

Segue

essendo

è l'ampiezza dell'oscillazione risultante che è a sua volta un'oscillazione sinusoidale ma con frequenza molto più bassa.
Tags: battimenti, formule di prostaferesi, Funzioni periodiche
Articoli correlati


Congettura di Riemann
Trasformata discreta di Fourier
Trasformata di Fourier nel senso delle distribuzioni
Trasformata di Fourier
Infinitesimi ed infiniti
Limiti notevoli
Punti di discontinuità
Misura di Peano Jordan
Eserciziario sugli integrali
Differenziabilità
Differenziabilità (2)
Esercizi sui limiti
Appunti sulle derivate
Studio della funzione
Esercizi sugli integrali indefiniti
Algebra lineare
Analisi Matematica 2
Analisi funzionale
Entanglement quantistico
Spazio complesso
Biliardo di Novikov
Intro alla Meccanica quantistica
Entanglement Quantistico
