[¯|¯] Come calcolare il fattore razionalizzante
Gennaio 13th, 2017 | by Marcello Colozzo |
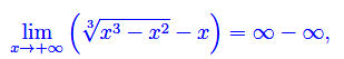
Soluzione
Riesce

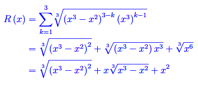
cosicché determiniamo il fattore razionalizzante:

Segue

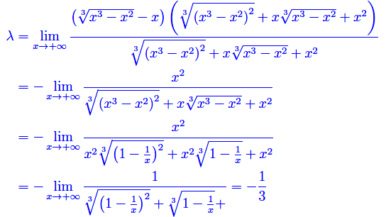
Conclusione

Cioè la funzione è convergente per x->+oo, e il limite vale -1/3. Geometricamente, significa che la retta orizzontale 3y+1=0 è asintoto orizzontale a destra per il diagramma della funzione.
No TweetBacks yet. (Be the first to Tweet this post)
Articoli correlati