Amplificazione di tensione nel transistor

Dicembre 11th, 2022 | by Marcello Colozzo |

Amplificazione di tensione nel transistor
Fig. 1.


Consideriamo lo schema di fig. 1. In tale configurazione l'emettitore può essere considerato alla stregua di un terminale di ingresso. Se ΔVin è la variazione della tensione tra emettitore e base, si ha con ovvio significato dei simboli:


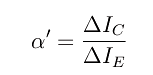
dove il parametro

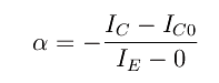
ci ricorda il parametro α (amplificazione di corrente per ampi segnali) introdotto in un numero precedente. Precisamente:

per cui in α gli incrementi sono calcolati rispetto al valore di interdizione per il collettore e al valore nullo dell'emettitore (circuito aperto). Ne segue


Definiamo l'amplificazione di tensione:

Il problema che si apre consiste nel calcolare le variazioni di tensione che compaiono a secondo membro. Per quanto riguarda l'uscita osserviamo preliminarmente che

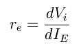
ove la comparsa del segno (-) è dovuta all'orientazione di IC rispetto a Vout. Per la tensione di ingresso, rammentiamo la definizione di resistenza differenziale di una giunzione, in particolare della JE:


Quindi, a meno di infinitesimi di ordine superiore o ciò che è lo stesso, per escursioni del potenziale non troppo ampie:

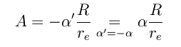
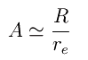
Finalmente


Un valore tipico di α è 0.9 per cui


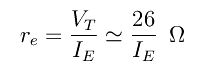
mentre per re ricordiamo dalla teoria del diodo a giunzione la relazione approssimata

Un valore tipico è 40 Ω , per cui ci aspettiamo un elevato valore dell'amplificazione di tensione in virtù dell'elevato valore della restistenza di carico, rispetto alla resistenza differenziale della giunzione di emettitore, che può essere considerata alla stregua di una resistenza di ingresso. Valori tipici per A sono dell'ordine di +70. Da tale comportamento si giustifica la denominazione transistor ovvero transfer resistor (trasferitore di resistenza).

No TweetBacks yet. (Be the first to Tweet this post)
Articoli correlati

Commenta l'esercizio