Introduzione al transistor
Dicembre 8th, 2022 | by Marcello Colozzo |
Un transistor pnp è una configurazione di giunzioni assemblate come in fig.

che danno luogo alle corrispondenti regioni denominate rispettivamente emettitore, base, collettore. In una modalità duale abbiamo un transistor npn, illustrato schematicamente in fig.

Gli schemi circuitali dei transistore pnp e npn sono riportati nelle figg.

dove VEB e VCB denotano le cadute di tensione emettitore-base e collettore-base, rispettivamente.
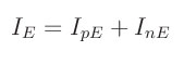
Ciò premesso, consideriamo la configurazione di fig. 1 che rappresenta un transistore pnp in cui la giunzione JE (emettitore-base) è nello stato di polarizzazione diretta, mentre la giunzione JC (collettore-base) è nello stato di polarizzazione inversa. Ne consegue una corrente di emettitore

dove IpE è la corrente dovuta alle lacune che diffondono dall'emettitore alla base, mentre InE è la corrente degli elettroni che diffondono dalla base all'emettitore. Il drogaggio del collettore e della base è tale

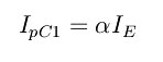
Denotiamo poi con IpC1 < IpE la corrente dovuta alle lacune che diffondono dalla base al collettore. Ne segue che la differenza IpE-IpC1 quantifica la concentrazione di lacune che si ricombinano con gli elettroni presenti nella base.
Portiamo ora l'emettitore in condizioni di circuito aperto, conservando la polarizzazione inversa di JC, per cui IC=IC0 essendo quest'ultima la corrente di saturazione inversa di JC. Tale grandezza si decompone in

dove

La corrente di saturazione inversa appare come argomento del valore assoluto, per una questione convenzionale dei segni. Infatti, scriviamo

Per quanto visto in precedenza, IpC1 dipende da IE per cui parametrizziamo tale dipendenza come

o ciò che è lo stesso

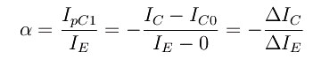
essendo

l'incremento della corrente di collettore rispetto al valore di interdizione (IC0, mentre la grandezza a denominatore è l'incremento della corrente di emettitore rispetto al valore di interdizione (IE=0). Tenendo conto dei segni delle correnti, si ha che α > 0 e prende il nome di amplificazione di corrente per ampi segnali.
Analoghe considerazioni per un transistore npn.