I polinomi di Legendre e il metodo dei minimi quadrati
Aprile 26th, 2020 | by Marcello Colozzo |
Per quanto precede, assegnata una funzione f(x) in [a,b] e un sistema di funzioni

l'errore quadratico medio dell'approssimazione di f(x) mediante la somma

assume un minimo se i coefficienti della predetta combinazione lineare risolvono il seguente sistema lineare:

dove

Precisamente, ammettendo di scegliere il predetto sistema di funzioni in modo da avere

e denotando con

l'unica soluzione del sistema di equazioni lineari scritto più sopra, si ha

essendo

Tuttavia il sistema di equazioni lineari ha un carico computazionale elevato (specie per n molto grande) che però, può essere ridotto se le funzioni φi(x) sono tali che

Ricordiamo che un tale sistema di funzioni si dice ortogonale in [a,b]. Più precisamente, nella prima lezione avevamo supposto f di classe p >= 1 in [a,b] e le φj analitiche, i.e. elementi di Cω([a,b]) che può essere dotato di una struttura di spazio vettoriale sul campo reale R (e volendo, sul campo complesso C). Possiamo dotare di tale spazio di una struttura di spazio euclideo (se ci limitiamo al campo reale), introducendo il prodotto scalare

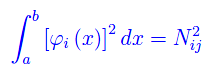
In tal modo, la relazione scritta più sopra ci dice che il sistema di funzioni {φi(x)} è ortogonale. Le costanti Nij svolgono il ruolo di costanti di normalizzazione, giacché

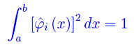
Infatti, la sostituzione

restituisce il sistema ortonormale:

Nel numero precedente avevamo poi esaminato la necessità di assumere un sistema di funzioni linearmente indipendente. Ne consegue che comunque prendiamo un siffatto sistema, applicando il noto procedimento di ortogonalizzazione di Gram-Schmidt, si perviene a un sistema di funzioni ortogonali.
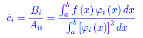
L'ortogonalità del sistema di funzioni {φi(x)} determina la diagonalizzazione del sistema lineare scritto più sopra, per cui l'unica soluzione si scrive:

che nel caso speciale di un sistema di funzioni ortonormale, assume una forma ancora più semplice:

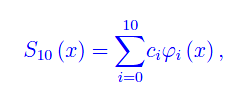
Ad esempio, nell'intervallo [-1,1] i polinomi di Legendre costituiscono un sistema ortogonale. Questi polinomi sono built-in nell'ambiente di calcolo Mathematica. Possiamo tentare di approssimare la funzione (dotata di una discontinuità di prima specie in x=0):

Consideriamo la somma di ordine 10

dove φi(x) è il polinomio i-esimo. Per una nota proprietà, un polinomio di Legendre di ordine n, ha grado n. In fig. fig:lgendre riportiamo l'approssimazione della funzione assgnata con una combinazione dei primi 11 polinomi di Legendre, con i coefficienti che minimizzano l'errore quadratico medio.



Congettura di Riemann
Trasformata discreta di Fourier
Trasformata di Fourier nel senso delle distribuzioni
Trasformata di Fourier
Infinitesimi ed infiniti
Limiti notevoli
Punti di discontinuità
Misura di Peano Jordan
Eserciziario sugli integrali
Differenziabilità
Differenziabilità (2)
Esercizi sui limiti
Appunti sulle derivate
Studio della funzione
Esercizi sugli integrali indefiniti
Algebra lineare
Analisi Matematica 2
Analisi funzionale
Entanglement quantistico
Spazio complesso
Biliardo di Novikov
Intro alla Meccanica quantistica
Entanglement Quantistico
