[¯|¯] Sviluppo asintotico del logaritmo integrale

Settembre 29th, 2019 | by Marcello Colozzo |

logaritmo integrale,sviluppo asintotico,teorema dei numeri primi

Per poter applicare il Teorema dei numeri primi allo sviluppo in serie di π0(x), dobbiamo studiare il comportamento asintotico del logaritmo integrale. A tale scopo serviamoci della formula di Nielsen-Ramanujan che qui riscriviamo


Segue

Tenendo conto della convergenza uniforme della serie a secondo membro:

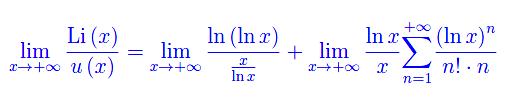
cosicché









Confrontiamo tale infinito con u(x)=x/ln x:

Continua in pdf

No TweetBacks yet. (Be the first to Tweet this post)

Tags: , ,

Articoli correlati

Commenta l'esercizio