[[¯|¯] Integrale di circuitazione indipendente dal parametro che individua il cammino di integrazione
Dicembre 15th, 2018 | by Marcello Colozzo |
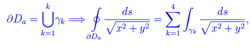
Risolvendo questo secondo integrale del Flaccavento, vediamo che il risultato non dipende dal parametro a che fissa la dimensione del quadrato, quale cammino di integrazione. Quest'ultimo è una curva generalmente regolare semplice e chiusa. Precisamente, è l'unione di quattro segmenti.
Dopo aver stabilito un verso di percorrenza, scriviamo

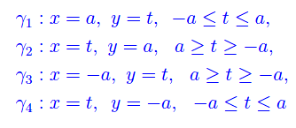
dove

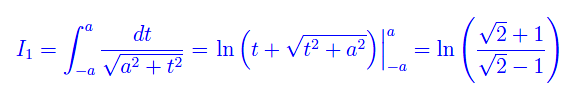
Il segmento γ1 è orientato nel verso delle t crescenti:

per cui

Il segmento γ2 è orientato nel verso delle t decrescenti:

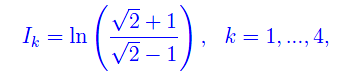
Alla stessa maniera i rimanenti integrali. Segue

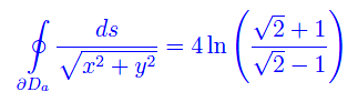
da cui il risultato:

Sostienici

Puoi contribuire all’uscita di nuovi articoli ed e-books gratuiti che il nostro staff potrà mettere a disposizione per te e migliaia di altri lettori.
No TweetBacks yet. (Be the first to Tweet this post)
Tags: esercizi, flaccavento, Integrali curvilinei
Articoli correlati


Congettura di Riemann
Trasformata discreta di Fourier
Trasformata di Fourier nel senso delle distribuzioni
Trasformata di Fourier
Infinitesimi ed infiniti
Limiti notevoli
Punti di discontinuità
Misura di Peano Jordan
Eserciziario sugli integrali
Differenziabilità
Differenziabilità (2)
Esercizi sui limiti
Appunti sulle derivate
Studio della funzione
Esercizi sugli integrali indefiniti
Algebra lineare
Analisi Matematica 2
Analisi funzionale
Entanglement quantistico
Spazio complesso
Biliardo di Novikov
Intro alla Meccanica quantistica
Entanglement Quantistico
