[¯|¯] Esponenziali irrazionali?

Febbraio 18th, 2017 | by Marcello Colozzo |

limiti di funzioni esponenziali,limiti di funzioni irrazionali,forma indeterminata 1 elevato a infinito



Soluzione
Il limite si presenta sotto la forma indeterminata 1oo, per cui applichiamo il procedimento standard:

limiti di funzioni esponenziali,limiti di funzioni irrazionali,forma indeterminata 1 elevato a infinito

essendo
limiti di funzioni esponenziali,limiti di funzioni irrazionali,forma indeterminata 1 elevato a infinito

Calcoliamo λ1 con il cambio di variabile
limiti di funzioni esponenziali,limiti di funzioni irrazionali,forma indeterminata 1 elevato a infinito

per cui
limiti di funzioni esponenziali,limiti di funzioni irrazionali,forma indeterminata 1 elevato a infinito









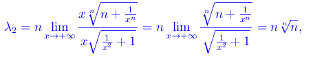
Calcoliamo λ2
limiti di funzioni esponenziali,limiti di funzioni irrazionali,forma indeterminata 1 elevato a infinito

quindi il risultato.








No TweetBacks yet. (Be the first to Tweet this post)

Tags: , ,

Articoli correlati

Commenta l'esercizio