[¯|¯] Un efficace algoritmo per risolvere la forma indeterminata 1oo
Febbraio 7th, 2017 | by Marcello Colozzo |
Proponiamo un algoritmo per risolvere la forma indeterminata 1oo. Assumiamo

con

Segue

Osserviamo che

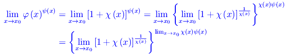
Cioè la funzione φ(x) converge a 1 per x->x0, se e solo se esiste una funzione χ(x) infinitesima in x=x0. Con tale posizione il limite si scrive:

Calcoliamo il primo limite con il cambio di variabile

per cui

Finalmente:

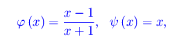
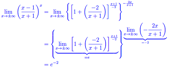
Applichiamo questo procedimento al limite dell'esempio precedente:

Qui è

onde

Pertanto

Dall'esecuzione dei calcoli vediamo che l'algoritmo proposto ha un costo computazionale più alto di quello utilizzato nel predetto esempio. È tuttavia vantaggioso nei casi in cui il limite è più complicato.
No TweetBacks yet. (Be the first to Tweet this post)
Tags: algoritmo, forma indeterminata 1 elevato a infinito, limiti di funzioni esponenziali
Articoli correlati