Disuguaglianza di Schwartz
Dicembre 28th, 2022 | by Marcello Colozzo |
Elevando al quadrato

che può essere scritta come

in cui riconosciamo la disuguaglianza di Schwartz. Consideriamo ora

Per una nota proprietà dell'integrale definito:

Cioè

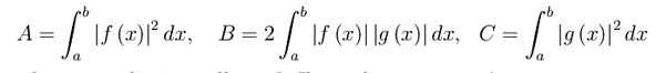
avendo posto

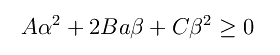
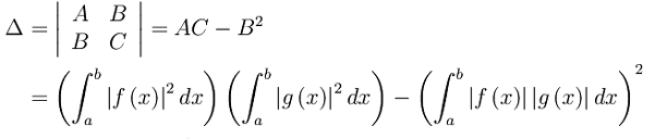
L'equazione scritta più sopra è una forma quadratica nelle a,ß. Il suo discriminante è

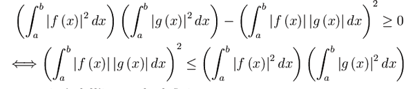
Assumendo f non nulla, si ha A > 0, e il discriminante deve essere non negativo:

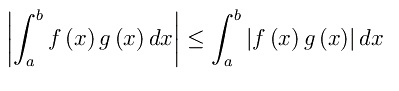
Per una nota proprietà dell'integrale definito:

cosicché

da cui l'asserto.
No TweetBacks yet. (Be the first to Tweet this post)
Articoli correlati



Congettura di Riemann
Trasformata discreta di Fourier
Trasformata di Fourier nel senso delle distribuzioni
Trasformata di Fourier
Infinitesimi ed infiniti
Limiti notevoli
Punti di discontinuità
Misura di Peano Jordan
Eserciziario sugli integrali
Differenziabilità
Differenziabilità (2)
Esercizi sui limiti
Appunti sulle derivate
Studio della funzione
Esercizi sugli integrali indefiniti
Algebra lineare
Analisi Matematica 2
Analisi funzionale
Entanglement quantistico
Spazio complesso
Biliardo di Novikov
Intro alla Meccanica quantistica
Entanglement Quantistico
